IDEA RZECZY

POLITYKA

PRZYRODA

HISTORIA

EKONOMIA

DZIENNICZEK

FIZYKA

MATEMATYKA

PROGNOZA POGODY


FILOZOFIA


style="text-align:center">?"""""""""""

Czym jest filozofia dzisiaj?

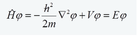
Równanie Schroedingera niezależna od czasu Nauki, zwane ścisłymi, takie, jak: matematyka, fizyka, chemia oraz różne ich wspólne pola działania (medycyna, elektronika, informatyka, inżynieria) - osiągnęły ogromną prędkość rozwoju.
Już wcześniej (w okresie, zwanym na wyrost Oświeceniem) nauki humanistyczne, a przede wszystkim filozofia, przestały nadążać za rozwojem nauk ścisłych.
Brak zrozumienia nauk ścisłych ze strony filozofów przybrał tak szokujące rozmiary, że zakończył się kompletną zapaścią (upadkiem) tej ważnej dziedziny wiedzy.
Wcześniej tak nie było i rozwój nauk ścisłych był mocno powiązany z filozofią, a wielu filozofów łączyło w sobie dociekania w dziedzinie matematyki i fizyki z rozważaniami natury ogólnej, w tym światopoglądowej.
W czasach starożytnych łączenie tych postaw było wręcz regułą, a jednym z zadań filozofa było badanie istoty świata. Pitagoras, Tales, Zenon, Sokrates, Platon, Arystoteles, Heraklit - zajmowali się naukami ścisłymi i analizą świata.
W Średniowieczu św. Tomasz z Akwinu rozważał, czym jest świat, opierając się na pracach m. in. Arystotelesa.
W epoce Odrodzenia połączenie filozofii z naukami ścisłymi nabrało wielkiego rozmachu. Wystarczy wymienić takie postaci, jak Francis Bacon (1561-1626), Kartezjusz (1596-1650), Pascal (1623-1662), Izaak Newton (1642-1727), Wilhelm Leibniz(1646-1716). Byli oni wybitnymi matematykami, fizykami i jednocześnie filozofami.
Później uczeni, którzy uważali się za filozofów, przestali "ogarniać" nauki ścisłe i zajęli się wyłącznie publicystyką. Wystarczy wymienić takich "filozofów" jak Monteskiusz (1689-1755), Locke (1632-1704), Hume (1711-1776), Kant (1724-1804), Hegel (1770-1831), Nietzsche (1844-1900). Byli oni spekulantami, metafizykami, manipulatorami, często z tytułami profesorskimi, którzy rozprzestrzeniali swoją niby-naukę z katedr największych uniwersytetów.
Dobrym przykładem jest zwłaszcza Hegel, który - nie wiedzieć czemu - nadal uważany jest za autorytet dla wielu tak zwanych (głównie przez samych siebie) intelektualistów, którzy nie dostrzegają na przykład prymitywnie rasistowskich poglądów Hegla.
Wykłady Hegla tak skomentował Adam Mickiewicz: "Chadzam na Hegla. Dwie lekcje zajęła różnica między Vernunft i Verstand. […] Człowiek, który tak niejasno mówi i tak się męczy przez caluteńką godzinę, by rozjaśnić znaczenie dwóch pojęć, pewnie się sam nie musi rozumieć".
Hegel wypisywał niewiarygodne brednie. Jego dzieło pt. "Wykłady o filozofii dziejów" powinno być lekturą obowiązkową jako przekład bezgranicznego bełkotu myślowego. Ludzie, którzy się na niego powołują, czynią to ze snobizmu, niewiedzy albo z wyrachowania.
Wracając do głównego tematu, którym jest dzisiejsza degrengolada filozofii, należy podkreślić, że znaczny odłam tego, co uważa się za współczesną filozofię uniwersytecką - prowadzi naszą cywilizację i kulturę do upadku.
Podoba się to sporej części społeczeństw, która z powodu braku innych autorytetów skłonna jest uwierzyć w każdą brednię, byle by była łatwa i nie wymagała krytycznej analizy.
Jedyna sensowna filozofia powinna łączyć nauki ścisłe z naukami humanistycznymi. Tylko pod takim warunkiem współczesna filozofia może być traktowana poważnie.


Czym jest filozofia?

Tales z Miletu rycina z książki Illustrerad verldshistoria 
    utgifven av E. Wallis. volume I To jest pytanie dzisiaj bardzo ważne. W epoce tzw. nowożytnej (czyli od ok. połowy XVIII w.) filozofia znalazła się w kryzysie, ponieważ nie nadążała za gwałtownym rozwojem nauk przyrodniczych. Powstawały konkurujące ze sobą nurty myśli filozoficznej, z których żaden nie ogarniał całości zagadnień, którymi we wcześniejszych epokach zajmowała się filozofia. A przecież między filozofia Platona i Arystotelesa z jednej strony a filozofią Kartezjusza czy Wittgensteina nie ma zasadniczych sprzeczności.
Kryzys filozofii przyczynił się do kryzysu i zamętu w dziedzinie wiedzy powszechnej i w dziedzinie edukacji.
W dziedzinie wiedzy o świecie jest wiele sprzeczności. Powszechnie dostępna technika coraz bardziej wyprzedza powszechną wiedzę.
"Odkąd istnieje nauka, nie ustają wysiłki, aby wyjść poza rozważania częściowe i objąć w jednej nauce wszystko, co istnieje; nie ustają próby, by obok nauk specjalnych zbudować naukę, która da pogląd na świat: ta nauka była i jest nazywana filozofią. To nauka, której zakres jest zatem z wszystkich nauk najobszerniejszy i pojęcia najogólniejsze." (Władysław Tatarkiewicz, "Historia filozofii")
Bardzo istotne jest określenie: "obok nauk specjalnych". Z dzisiejszego punktu widzenia to się jeszcze bardziej uwidocznia. Filozofia powinna znów stać się interdyscyplinarną dziedziną wiedzy, łączącą osiągnięcia "nauk specjalnych". Niekiedy także wyszukującą sprzeczności między "naukami specjalnymi". Idąc dalej tym tropem można dojść do wniosku, że filozofia nie jest nauką, lecz komentarzem do nauki, jest wiedzą o świecie. Po różnych meandrach filozofii, która przez pewien czas nie wiadomo czym była, następuje teraz powrót do korzeni. Filozofia ma budować pogląd na świat, porządkować wiedzę o świecie. Posługiwać się w tym celu "naukami specjalnymi". Włącznie (oczywiście!) z matematyką, nierozerwalnie związaną z filozofią od jej zarania. Heraklit Filozofów oraz tych, którzy uważali się lub byli uważani za filozofów było bardzo wielu. Z punktu widzenia rozwoju wiedzy o świecie warto wymienić filozofów, jak następuje (wybór jest subiektywny i bardzo trudny): Tales z Miletu, Heraklit (Hraklejtos) z Efezu, Zenon z Elei, Demokryt z Abdery, Pitagoras z Samos, Sokrates z Aten, Platon z Aten, Arystoteles z Stagiry, Św. Tomasz z Akwinu, Giordano Bruno, Kartezjusz, Leibniz. Mniej więcej od czasów tzw. Oświecenia filozofia zaczęła schodzić stopniowo na manowce, być może przytłoczona (onieśmielona) dynamicznym rozwojem "nauk specjalnych", głównie matematyki. Można zaryzykować, że filozofowie przegrywali z matematyką. Doszło do całkowitego zerwania filozofów z matematyką, co z dzisiejszego punktu widzenia deprecjonuje filozofię tych "filozofów". Z tego powodu można było twierdzić, że filozofia nie jest nauką, a jedynie propagandą. Dlatego pisma Hegla, Kanta czy Nietzschego są - z punktu widzenia nauk ścisłych - delikatnie mówiąc, mętne, a wielu uważa je po prostu za bredzenie, które można dowolnie naginać do własnych potrzeb. Całe szczęście, że filozofia, jako zwornik wszystkich nauk, powoli wraca nie tylko do matematyki, ale zwłaszcza do zajmowania się na poważnie ogólnym (makro) i szczegółowym (mikro) poglądem na świat.

Zenon Demokryt Pitagoras Sokrates Platon Arystoteles Św. Tomasz Giordano Bruno Kartezjusz Leibniz Twierdzenie Talesa